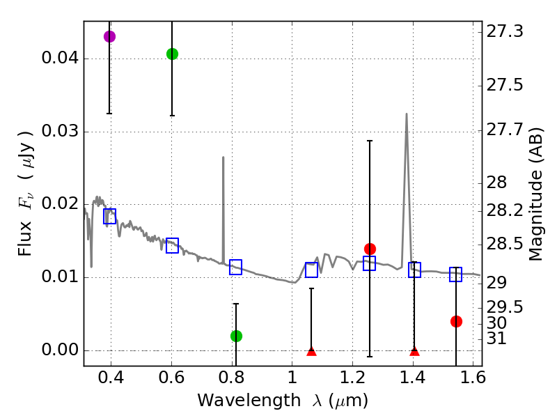
RXS0603+42-N IR detection object #4747

Color images and BPZ results
Catalog: 4747.cat
Black segments are analyzed here.   Roll mouse over color images to view segments.
Best viewed in a wide browser window (1200 pixels or more).   Download SED & P(z) plots to view larger versions.
In P(z) plots: Yellow lines mark the cluster redshift z = 0.228,  

Object #4747   x,y = (3046, 1909)   RA, Dec = (06:03:11.208, 42:15:12.24) = (90.79670, 42.25340)   BPZ = 1.763 [0.397--2.995]   type = 11.00 (SB11_A_0_l)   stellarity = 0.36   chisq2 = 5.51   ODDS = 0.21   z_cluster = 0.228