RXS0603+42-N IR detection object #4742

Color images and BPZ results
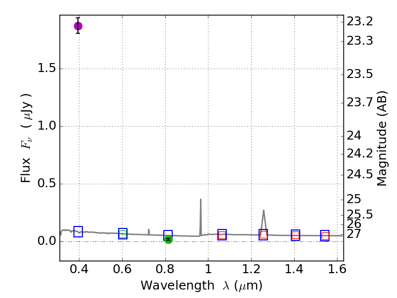
Catalog: 4742.cat
Black segments are analyzed here.   Roll mouse over color images to view segments.
Best viewed in a wide browser window (1200 pixels or more).   Download SED & P(z) plots to view larger versions.
In P(z) plots: Yellow lines mark the cluster redshift z = 0.228,  

Object #4742   x,y = (4471, 1910)   RA, Dec = (06:03:03.504, 42:15:12.24) = (90.76460, 42.25340)   BPZ = 1.594 [1.349--2.017]   type = 11.00 (SB11_A_0_l)   stellarity = 1.00   chisq2 = 736.30   ODDS = 0.47   z_cluster = 0.228