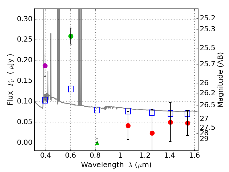
RXS0603+42-N IR detection object #4725

Color images and BPZ results
Catalog: 4725.cat
Black segments are analyzed here.   Roll mouse over color images to view segments.
Best viewed in a wide browser window (1200 pixels or more).   Download SED & P(z) plots to view larger versions.
In P(z) plots: Yellow lines mark the cluster redshift z = 0.228,  

Object #4725   x,y = (4070, 1836)   RA, Dec = (06:03:05.664, 42:15:07.92) = (90.77360, 42.25220)   BPZ = 0.020 [0.010--1.586]   type = 11.00 (SB11_A_0_l)   stellarity = 0.01   chisq2 = 20.06   ODDS = 0.97   z_cluster = 0.228