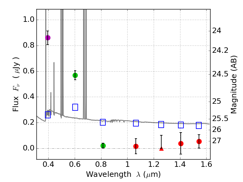
RXS0603+42-N IR detection object #4724

Color images and BPZ results
Catalog: 4724.cat
Black segments are analyzed here.   Roll mouse over color images to view segments.
Best viewed in a wide browser window (1200 pixels or more).   Download SED & P(z) plots to view larger versions.
In P(z) plots: Yellow lines mark the cluster redshift z = 0.228,  

Object #4724   x,y = (4068, 1824)   RA, Dec = (06:03:05.664, 42:15:07.20) = (90.77360, 42.25200)   BPZ = 0.017 [0.010--1.937]   type = 11.00 (SB11_A_0_l)   stellarity = 0.00   chisq2 = 51.94   ODDS = 0.38   z_cluster = 0.228