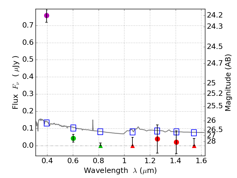
RXS0603+42-N IR detection object #4718

Color images and BPZ results
Catalog: 4718.cat
Black segments are analyzed here.   Roll mouse over color images to view segments.
Best viewed in a wide browser window (1200 pixels or more).   Download SED & P(z) plots to view larger versions.
In P(z) plots: Yellow lines mark the cluster redshift z = 0.228,  

Object #4718   x,y = (4005, 1860)   RA, Dec = (06:03:06.024, 42:15:09.36) = (90.77510, 42.25260)   BPZ = 1.699 [1.455--1.965]   type = 11.00 (SB11_A_0_l)   stellarity = 0.39   chisq2 = 64.68   ODDS = 0.68   z_cluster = 0.228