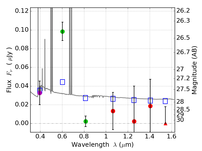
RXS0603+42-N IR detection object #4713

Color images and BPZ results
Catalog: 4713.cat
Black segments are analyzed here.   Roll mouse over color images to view segments.
Best viewed in a wide browser window (1200 pixels or more).   Download SED & P(z) plots to view larger versions.
In P(z) plots: Yellow lines mark the cluster redshift z = 0.228,  

Object #4713   x,y = (4085, 1828)   RA, Dec = (06:03:05.592, 42:15:07.56) = (90.77330, 42.25210)   BPZ = 0.025 [0.012--2.895]   type = 11.00 (SB11_A_0_l)   stellarity = 0.07   chisq2 = 11.50   ODDS = 0.43   z_cluster = 0.228