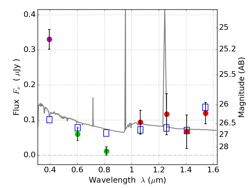
RXS0603+42-N IR detection object #4710

Color images and BPZ results
Catalog: 4710.cat
Black segments are analyzed here.   Roll mouse over color images to view segments.
Best viewed in a wide browser window (1200 pixels or more).   Download SED & P(z) plots to view larger versions.
In P(z) plots: Yellow lines mark the cluster redshift z = 0.228,  

Object #4710   x,y = (4064, 1873)   RA, Dec = (06:03:05.688, 42:15:10.08) = (90.77370, 42.25280)   BPZ = 1.558 [1.301--1.995]   type = 11.00 (SB11_A_0_l)   stellarity = 0.36   chisq2 = 18.80   ODDS = 0.48   z_cluster = 0.228