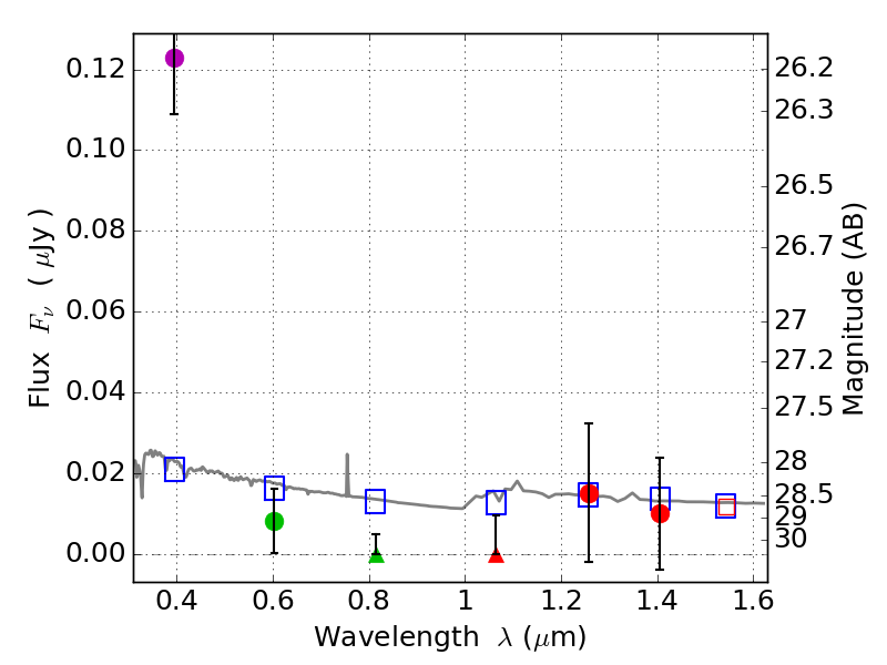
RXS0603+42-N IR detection object #4704

Color images and BPZ results
Catalog: 4704.cat
Black segments are analyzed here.   Roll mouse over color images to view segments.
Best viewed in a wide browser window (1200 pixels or more).   Download SED & P(z) plots to view larger versions.
In P(z) plots: Yellow lines mark the cluster redshift z = 0.228,  

Object #4704   x,y = (2409, 2085)   RA, Dec = (06:03:14.640, 42:15:22.68) = (90.81100, 42.25630)   BPZ = 1.697 [0.843--2.502]   type = 11.00 (SB11_A_0_l)   stellarity = 0.13   chisq2 = 20.26   ODDS = 0.24   z_cluster = 0.228