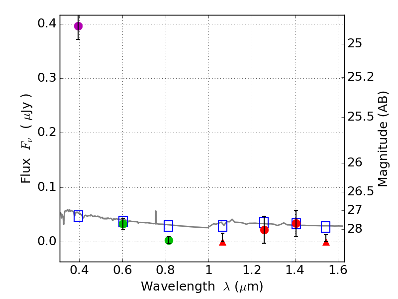
RXS0603+42-N IR detection object #4702

Color images and BPZ results
Catalog: 4702.cat
Black segments are analyzed here.   Roll mouse over color images to view segments.
Best viewed in a wide browser window (1200 pixels or more).   Download SED & P(z) plots to view larger versions.
In P(z) plots: Yellow lines mark the cluster redshift z = 0.228,  

Object #4702   x,y = (3325, 1912)   RA, Dec = (06:03:09.696, 42:15:12.60) = (90.79040, 42.25350)   BPZ = 1.696 [1.445--2.138]   type = 11.00 (SB11_A_0_l)   stellarity = 0.64   chisq2 = 53.67   ODDS = 0.58   z_cluster = 0.228