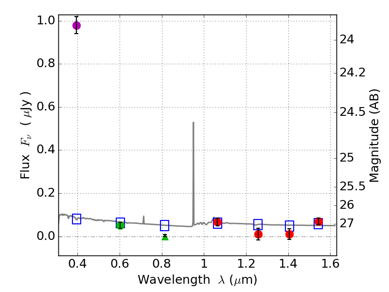
RXS0603+42-N IR detection object #4701

Color images and BPZ results
Catalog: 4701.cat
Black segments are analyzed here.   Roll mouse over color images to view segments.
Best viewed in a wide browser window (1200 pixels or more).   Download SED & P(z) plots to view larger versions.
In P(z) plots: Yellow lines mark the cluster redshift z = 0.228,  

Object #4701   x,y = (3419, 1911)   RA, Dec = (06:03:09.192, 42:15:12.24) = (90.78830, 42.25340)   BPZ = 1.553 [1.374--1.950]   type = 11.00 (SB11_A_0_l)   stellarity = 0.97   chisq2 = 128.90   ODDS = 0.57   z_cluster = 0.228