RXS0603+42-N IR detection object #4642

Color images and BPZ results
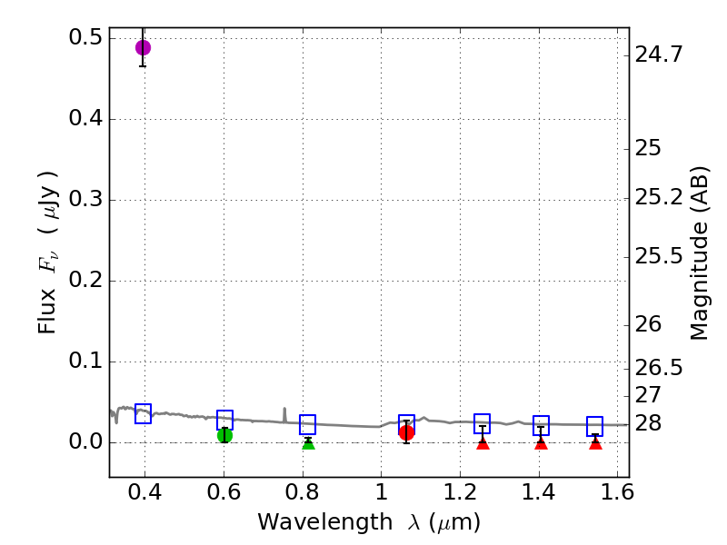
Catalog: 4642.cat
Black segments are analyzed here.   Roll mouse over color images to view segments.
Best viewed in a wide browser window (1200 pixels or more).   Download SED & P(z) plots to view larger versions.
In P(z) plots: Yellow lines mark the cluster redshift z = 0.228,  

Object #4642   x,y = (3423, 1931)   RA, Dec = (06:03:09.168, 42:15:13.68) = (90.78820, 42.25380)   BPZ = 1.702 [1.292--2.138]   type = 11.00 (SB11_A_0_l)   stellarity = 0.69   chisq2 = 91.28   ODDS = 0.55   z_cluster = 0.228