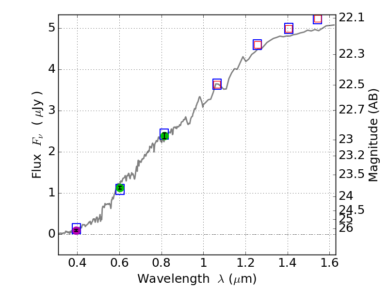
RXS0603+42-N IR detection object #4635

Color images and BPZ results
Catalog: 4635.cat
Black segments are analyzed here.   Roll mouse over color images to view segments.
Best viewed in a wide browser window (1200 pixels or more).   Download SED & P(z) plots to view larger versions.
In P(z) plots: Yellow lines mark the cluster redshift z = 0.228,  

Object #4635   x,y = (1482, 1933)   RA, Dec = (06:03:19.656, 42:15:13.68) = (90.83190, 42.25380)   BPZ = 0.297 [0.232--0.390]   type = 2.30 (Ell6_A_0 - Ell5_A_0)   stellarity = 0.98   chisq2 = 0.03   ODDS = 0.78   z_cluster = 0.228