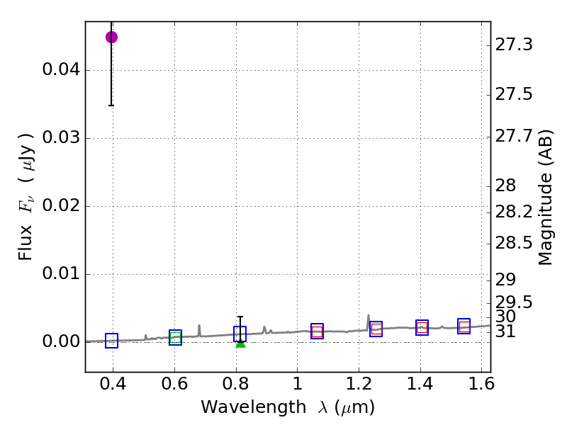
RXS0603+42-N IR detection object #4582

Color images and BPZ results
Catalog: 4582.cat
Black segments are analyzed here.   Roll mouse over color images to view segments.
Best viewed in a wide browser window (1200 pixels or more).   Download SED & P(z) plots to view larger versions.
In P(z) plots: Yellow lines mark the cluster redshift z = 0.228,  

Object #4582   x,y = (4348, 1951)   RA, Dec = (06:03:04.176, 42:15:14.76) = (90.76740, 42.25410)   BPZ = 0.358 [0.034--0.859]   type = 7.00 (Scd_B10)   stellarity = 0.36   chisq2 = 19.66   ODDS = 0.18   z_cluster = 0.228