RXS0603+42-N IR detection object #4577

Color images and BPZ results
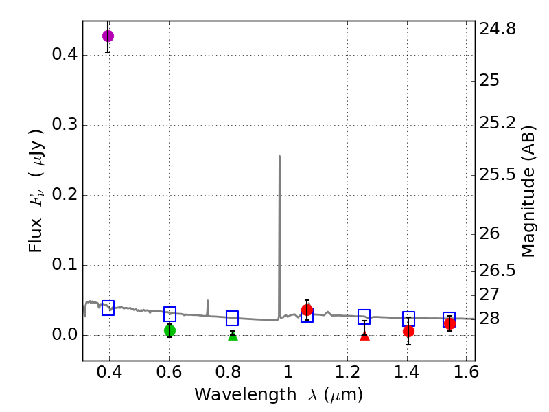
Catalog: 4577.cat
Black segments are analyzed here.   Roll mouse over color images to view segments.
Best viewed in a wide browser window (1200 pixels or more).   Download SED & P(z) plots to view larger versions.
In P(z) plots: Yellow lines mark the cluster redshift z = 0.228,  

Object #4577   x,y = (3351, 1953)   RA, Dec = (06:03:09.552, 42:15:14.76) = (90.78980, 42.25410)   BPZ = 1.612 [1.217--2.108]   type = 11.00 (SB11_A_0_l)   stellarity = 0.65   chisq2 = 68.26   ODDS = 0.44   z_cluster = 0.228