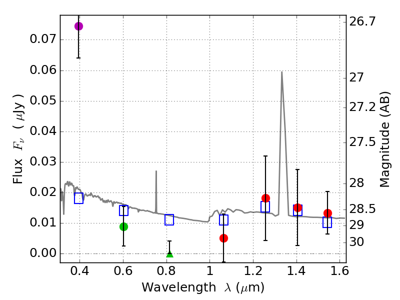
RXS0603+42-N IR detection object #4555

Color images and BPZ results
Catalog: 4555.cat
Black segments are analyzed here.   Roll mouse over color images to view segments.
Best viewed in a wide browser window (1200 pixels or more).   Download SED & P(z) plots to view larger versions.
In P(z) plots: Yellow lines mark the cluster redshift z = 0.228,  

Object #4555   x,y = (3436, 1964)   RA, Dec = (06:03:09.096, 42:15:15.48) = (90.78790, 42.25430)   BPZ = 1.694 [0.899--2.486]   type = 11.00 (SB11_A_0_l)   stellarity = 0.56   chisq2 = 9.15   ODDS = 0.24   z_cluster = 0.228