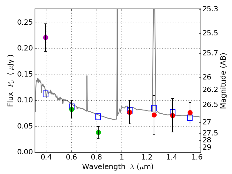
RXS0603+42-N IR detection object #4548

Color images and BPZ results
Catalog: 4548.cat
Black segments are analyzed here.   Roll mouse over color images to view segments.
Best viewed in a wide browser window (1200 pixels or more).   Download SED & P(z) plots to view larger versions.
In P(z) plots: Yellow lines mark the cluster redshift z = 0.228,  

Object #4548   x,y = (2964, 1912)   RA, Dec = (06:03:11.640, 42:15:12.60) = (90.79850, 42.25350)   BPZ = 1.587 [1.320--2.146]   type = 11.00 (SB11_A_0_l)   stellarity = 0.04   chisq2 = 5.24   ODDS = 0.38   z_cluster = 0.228