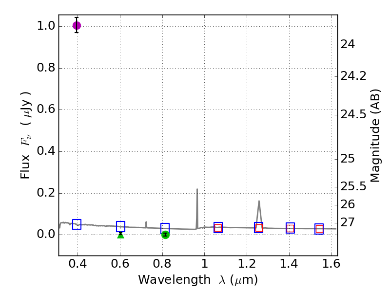
RXS0603+42-N IR detection object #4530

Color images and BPZ results
Catalog: 4530.cat
Black segments are analyzed here.   Roll mouse over color images to view segments.
Best viewed in a wide browser window (1200 pixels or more).   Download SED & P(z) plots to view larger versions.
In P(z) plots: Yellow lines mark the cluster redshift z = 0.228,  

Object #4530   x,y = (1499, 1974)   RA, Dec = (06:03:19.560, 42:15:16.20) = (90.83150, 42.25450)   BPZ = 1.594 [1.263--2.026]   type = 11.00 (SB11_A_0_l)   stellarity = 0.74   chisq2 = 708.00   ODDS = 0.42   z_cluster = 0.228