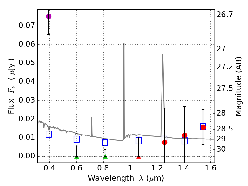
RXS0603+42-N IR detection object #4529

Color images and BPZ results
Catalog: 4529.cat
Black segments are analyzed here.   Roll mouse over color images to view segments.
Best viewed in a wide browser window (1200 pixels or more).   Download SED & P(z) plots to view larger versions.
In P(z) plots: Yellow lines mark the cluster redshift z = 0.228,  

Object #4529   x,y = (1684, 1977)   RA, Dec = (06:03:18.552, 42:15:16.20) = (90.82730, 42.25450)   BPZ = 1.558 [0.592--4.091]   type = 11.00 (SB11_A_0_l)   stellarity = 0.45   chisq2 = 11.43   ODDS = 0.16   z_cluster = 0.228