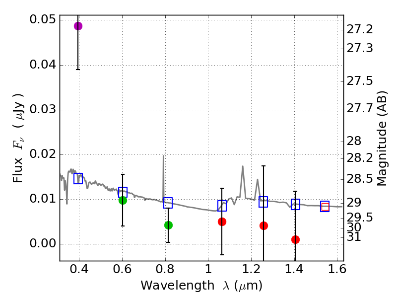
RXS0603+42-N IR detection object #4523

Color images and BPZ results
Catalog: 4523.cat
Black segments are analyzed here.   Roll mouse over color images to view segments.
Best viewed in a wide browser window (1200 pixels or more).   Download SED & P(z) plots to view larger versions.
In P(z) plots: Yellow lines mark the cluster redshift z = 0.228,  

Object #4523   x,y = (3823, 1976)   RA, Dec = (06:03:07.008, 42:15:16.20) = (90.77920, 42.25450)   BPZ = 1.827 [0.433--3.015]   type = 11.00 (SB11_A_0_l)   stellarity = 0.37   chisq2 = 4.91   ODDS = 0.17   z_cluster = 0.228