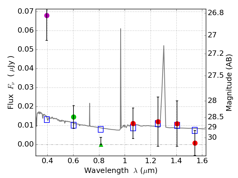
RXS0603+42-N IR detection object #4520

Color images and BPZ results
Catalog: 4520.cat
Black segments are analyzed here.   Roll mouse over color images to view segments.
Best viewed in a wide browser window (1200 pixels or more).   Download SED & P(z) plots to view larger versions.
In P(z) plots: Yellow lines mark the cluster redshift z = 0.228,  

Object #4520   x,y = (3258, 1977)   RA, Dec = (06:03:10.056, 42:15:16.20) = (90.79190, 42.25450)   BPZ = 1.600 [0.356--3.600]   type = 11.00 (SB11_A_0_l)   stellarity = 0.49   chisq2 = 5.84   ODDS = 0.17   z_cluster = 0.228