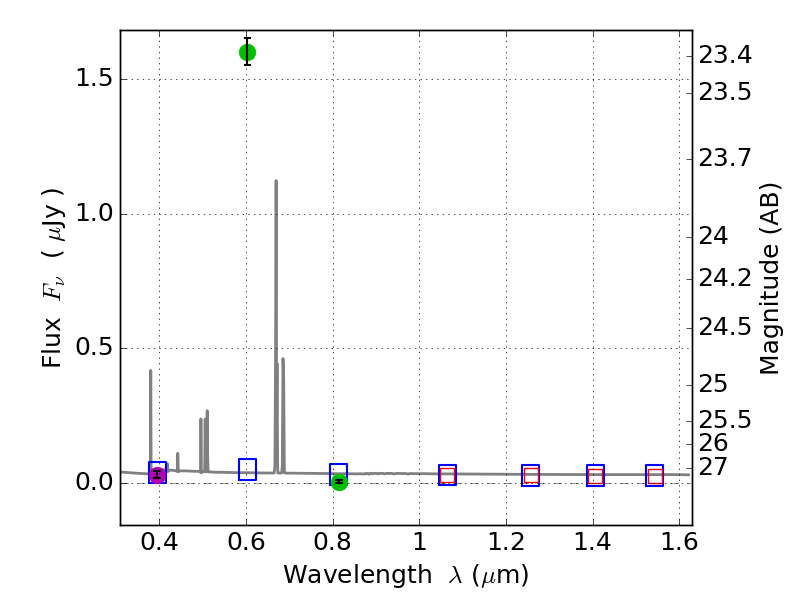
RXS0603+42-N IR detection object #452

Color images and BPZ results
Catalog: 452.cat
Black segments are analyzed here.   Roll mouse over color images to view segments.
Best viewed in a wide browser window (1200 pixels or more).   Download SED & P(z) plots to view larger versions.
In P(z) plots: Yellow lines mark the cluster redshift z = 0.228,  

Object #452   x,y = (2826, 3584)   RA, Dec = (06:03:12.384, 42:16:52.68) = (90.80160, 42.28130)   BPZ = 0.024 [0.013--2.869]   type = 11.00 (SB11_A_0_l)   stellarity = 0.98   chisq2 = 917.30   ODDS = 0.31   z_cluster = 0.228