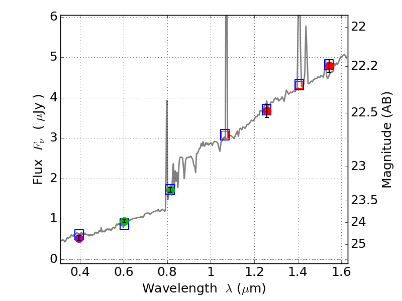
RXS0603+42-N IR detection object #4511

Color images and BPZ results
Catalog: 4511.cat
Black segments are analyzed here.   Roll mouse over color images to view segments.
Best viewed in a wide browser window (1200 pixels or more).   Download SED & P(z) plots to view larger versions.
In P(z) plots: Yellow lines mark the cluster redshift z = 0.228,  

Object #4511   x,y = (1665, 2016)   RA, Dec = (06:03:18.672, 42:15:18.72) = (90.82780, 42.25520)   BPZ = 1.139 [1.070--1.228]   type = 7.60 (SB1_B10 - Scd_B10)   stellarity = 0.01   chisq2 = 0.06   ODDS = 0.96   z_cluster = 0.228