RXS0603+42-N IR detection object #4480

Color images and BPZ results
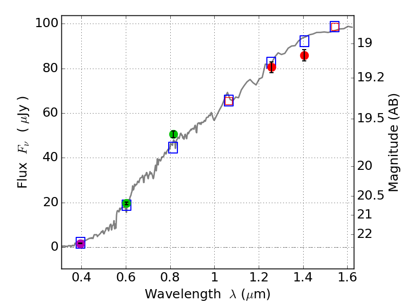
Catalog: 4480.cat
Black segments are analyzed here.   Roll mouse over color images to view segments.
Best viewed in a wide browser window (1200 pixels or more).   Download SED & P(z) plots to view larger versions.
In P(z) plots: Yellow lines mark the cluster redshift z = 0.228,  

Object #4480   x,y = (1754, 1969)   RA, Dec = (06:03:18.168, 42:15:15.84) = (90.82570, 42.25440)   BPZ = 0.396 [0.355--0.422]   type = 4.00 (Ell4_A_0)   stellarity = 0.94   chisq2 = 0.83   ODDS = 1.00   z_cluster = 0.228