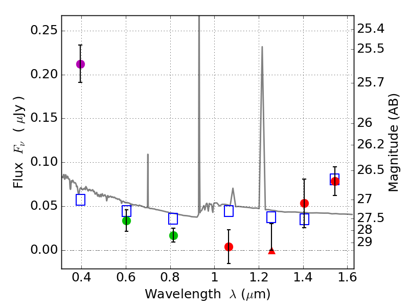
RXS0603+42-N IR detection object #4471

Color images and BPZ results
Catalog: 4471.cat
Black segments are analyzed here.   Roll mouse over color images to view segments.
Best viewed in a wide browser window (1200 pixels or more).   Download SED & P(z) plots to view larger versions.
In P(z) plots: Yellow lines mark the cluster redshift z = 0.228,  

Object #4471   x,y = (2336, 1990)   RA, Dec = (06:03:15.048, 42:15:17.28) = (90.81270, 42.25480)   BPZ = 1.497 [1.187--2.198]   type = 11.00 (SB11_A_0_l)   stellarity = 0.39   chisq2 = 15.28   ODDS = 0.33   z_cluster = 0.228