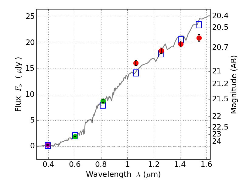
RXS0603+42-N IR detection object #4463

Color images and BPZ results
Catalog: 4463.cat
Black segments are analyzed here.   Roll mouse over color images to view segments.
Best viewed in a wide browser window (1200 pixels or more).   Download SED & P(z) plots to view larger versions.
In P(z) plots: Yellow lines mark the cluster redshift z = 0.228,  

Object #4463   x,y = (3567, 1978)   RA, Dec = (06:03:08.376, 42:15:16.20) = (90.78490, 42.25450)   BPZ = 0.699 [0.664--0.725]   type = 4.00 (Ell4_A_0)   stellarity = 0.98   chisq2 = 1.06   ODDS = 1.00   z_cluster = 0.228