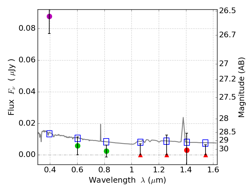
RXS0603+42-N IR detection object #4432

Color images and BPZ results
Catalog: 4432.cat
Black segments are analyzed here.   Roll mouse over color images to view segments.
Best viewed in a wide browser window (1200 pixels or more).   Download SED & P(z) plots to view larger versions.
In P(z) plots: Yellow lines mark the cluster redshift z = 0.228,  

Object #4432   x,y = (2387, 2089)   RA, Dec = (06:03:14.760, 42:15:23.04) = (90.81150, 42.25640)   BPZ = 1.763 [0.472--3.317]   type = 11.00 (SB11_A_0_l)   stellarity = 0.64   chisq2 = 13.12   ODDS = 0.22   z_cluster = 0.228