RXS0603+42-N IR detection object #4426

Color images and BPZ results
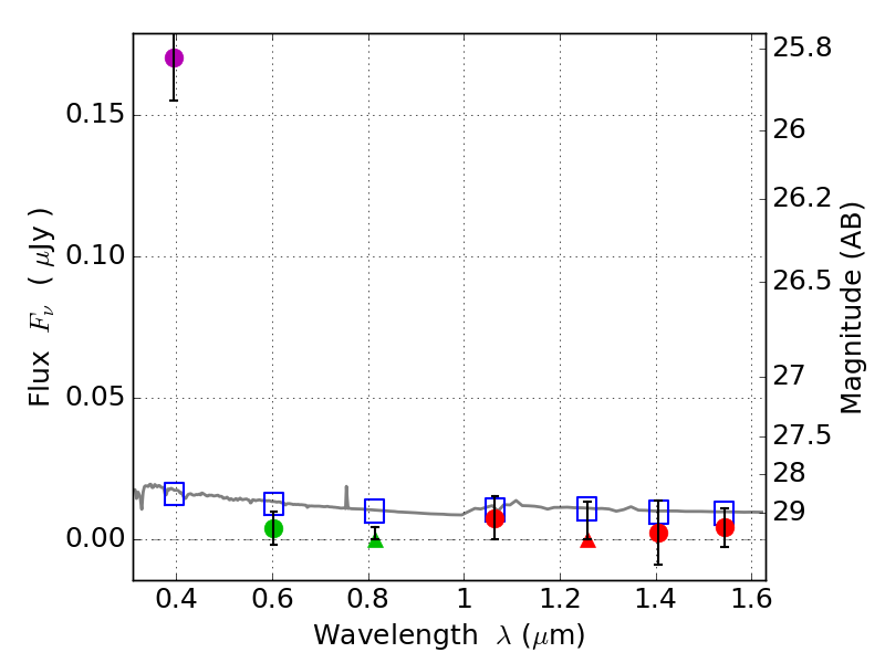
Catalog: 4426.cat
Black segments are analyzed here.   Roll mouse over color images to view segments.
Best viewed in a wide browser window (1200 pixels or more).   Download SED & P(z) plots to view larger versions.
In P(z) plots: Yellow lines mark the cluster redshift z = 0.228,  

Object #4426   x,y = (3140, 2006)   RA, Dec = (06:03:10.680, 42:15:18.00) = (90.79450, 42.25500)   BPZ = 1.702 [0.600--2.727]   type = 11.00 (SB11_A_0_l)   stellarity = 0.74   chisq2 = 27.61   ODDS = 0.26   z_cluster = 0.228