RXS0603+42-N IR detection object #4423

Color images and BPZ results
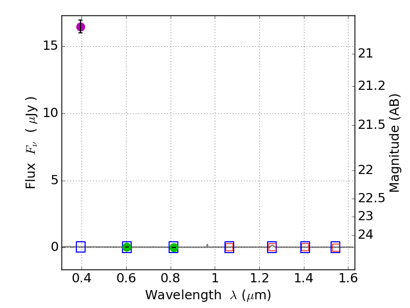
Catalog: 4423.cat
Black segments are analyzed here.   Roll mouse over color images to view segments.
Best viewed in a wide browser window (1200 pixels or more).   Download SED & P(z) plots to view larger versions.
In P(z) plots: Yellow lines mark the cluster redshift z = 0.228,  

Object #4423   x,y = (1450, 2002)   RA, Dec = (06:03:19.824, 42:15:17.64) = (90.83260, 42.25490)   BPZ = 1.595 [0.383--3.227]   type = 11.00 (SB11_A_0_l)   stellarity = 0.95   chisq2 = 1144.00   ODDS = 0.15   z_cluster = 0.228