RXS0603+42-N IR detection object #4384

Color images and BPZ results
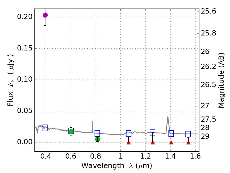
Catalog: 4384.cat
Black segments are analyzed here.   Roll mouse over color images to view segments.
Best viewed in a wide browser window (1200 pixels or more).   Download SED & P(z) plots to view larger versions.
In P(z) plots: Yellow lines mark the cluster redshift z = 0.228,  

Object #4384   x,y = (3119, 2019)   RA, Dec = (06:03:10.800, 42:15:18.72) = (90.79500, 42.25520)   BPZ = 1.763 [1.037--2.418]   type = 11.00 (SB11_A_0_l)   stellarity = 0.71   chisq2 = 32.15   ODDS = 0.37   z_cluster = 0.228