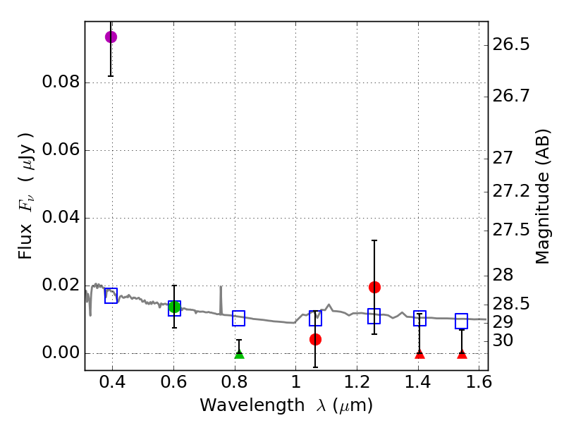
RXS0603+42-N IR detection object #4352

Color images and BPZ results
Catalog: 4352.cat
Black segments are analyzed here.   Roll mouse over color images to view segments.
Best viewed in a wide browser window (1200 pixels or more).   Download SED & P(z) plots to view larger versions.
In P(z) plots: Yellow lines mark the cluster redshift z = 0.228,  

Object #4352   x,y = (2027, 2023)   RA, Dec = (06:03:16.704, 42:15:19.08) = (90.81960, 42.25530)   BPZ = 1.699 [0.665--2.552]   type = 11.00 (SB11_A_0_l)   stellarity = 0.41   chisq2 = 12.99   ODDS = 0.33   z_cluster = 0.228