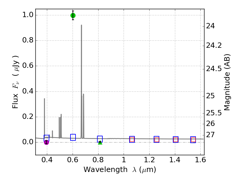
RXS0603+42-N IR detection object #4334

Color images and BPZ results
Catalog: 4334.cat
Black segments are analyzed here.   Roll mouse over color images to view segments.
Best viewed in a wide browser window (1200 pixels or more).   Download SED & P(z) plots to view larger versions.
In P(z) plots: Yellow lines mark the cluster redshift z = 0.228,  

Object #4334   x,y = (4366, 2026)   RA, Dec = (06:03:04.056, 42:15:19.08) = (90.76690, 42.25530)   BPZ = 0.025 [0.011--3.058]   type = 11.00 (SB11_A_0_l)   stellarity = 0.91   chisq2 = 782.20   ODDS = 0.69   z_cluster = 0.228