RXS0603+42-N IR detection object #4318

Color images and BPZ results
Catalog: 4318.cat
Black segments are analyzed here.   Roll mouse over color images to view segments.
Best viewed in a wide browser window (1200 pixels or more).   Download SED & P(z) plots to view larger versions.
In P(z) plots: Yellow lines mark the cluster redshift z = 0.228,  

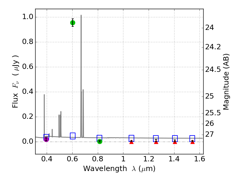
Object #4318   x,y = (2868, 2030)   RA, Dec = (06:03:12.168, 42:15:19.44) = (90.80070, 42.25540)   BPZ = 0.023 [0.010--2.842]   type = 11.00 (SB11_A_0_l)   stellarity = 0.76   chisq2 = 222.80   ODDS = 0.93   z_cluster = 0.228