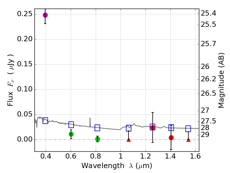
RXS0603+42-N IR detection object #4292

Color images and BPZ results
Catalog: 4292.cat
Black segments are analyzed here.   Roll mouse over color images to view segments.
Best viewed in a wide browser window (1200 pixels or more).   Download SED & P(z) plots to view larger versions.
In P(z) plots: Yellow lines mark the cluster redshift z = 0.228,  

Object #4292   x,y = (1690, 2198)   RA, Dec = (06:03:18.528, 42:15:29.52) = (90.82720, 42.25820)   BPZ = 1.698 [1.324--2.149]   type = 11.00 (SB11_A_0_l)   stellarity = 0.65   chisq2 = 40.71   ODDS = 0.52   z_cluster = 0.228