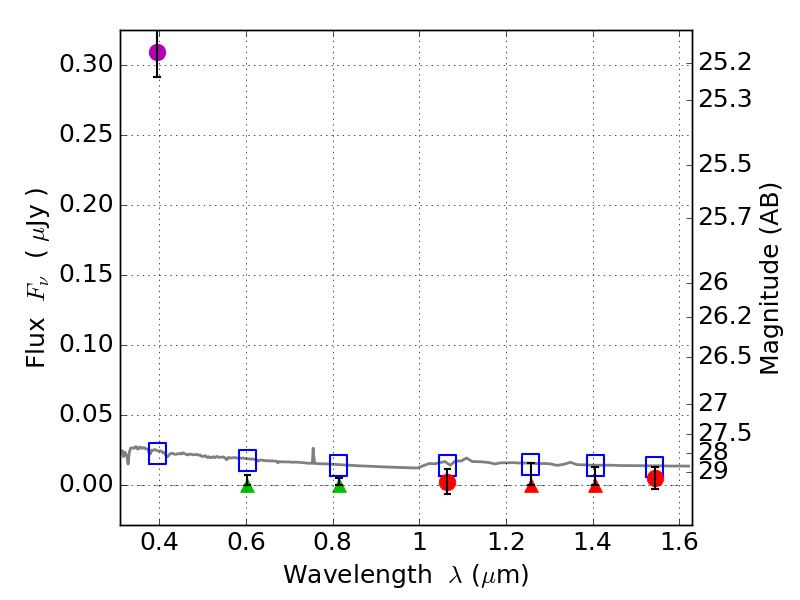
RXS0603+42-N IR detection object #4288

Color images and BPZ results
Catalog: 4288.cat
Black segments are analyzed here.   Roll mouse over color images to view segments.
Best viewed in a wide browser window (1200 pixels or more).   Download SED & P(z) plots to view larger versions.
In P(z) plots: Yellow lines mark the cluster redshift z = 0.228,  

Object #4288   x,y = (2818, 2188)   RA, Dec = (06:03:12.432, 42:15:29.16) = (90.80180, 42.25810)   BPZ = 1.700 [1.026--2.315]   type = 11.00 (SB11_A_0_l)   stellarity = 0.77   chisq2 = 66.62   ODDS = 0.38   z_cluster = 0.228