RXS0603+42-N IR detection object #4277

Color images and BPZ results
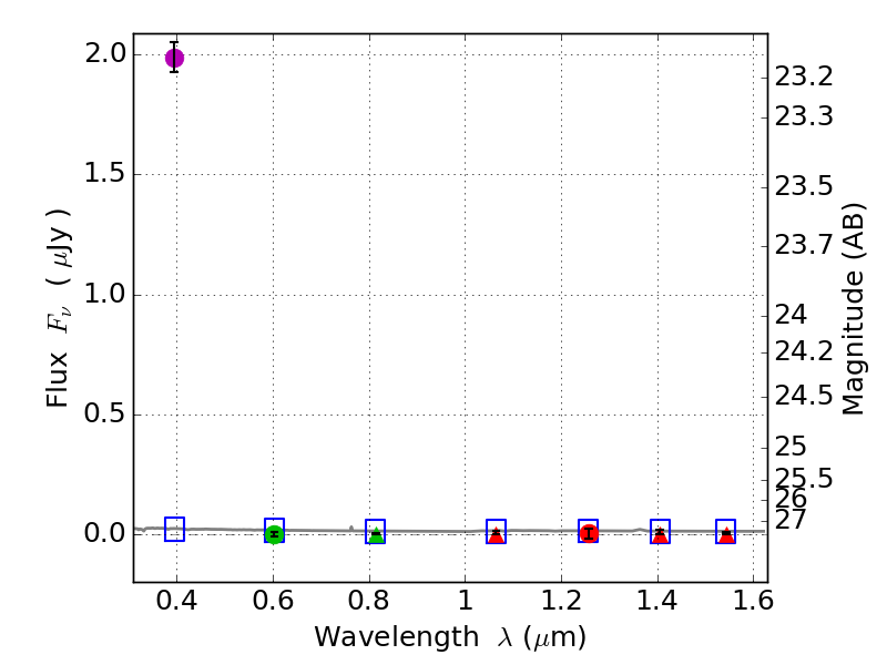
Catalog: 4277.cat
Black segments are analyzed here.   Roll mouse over color images to view segments.
Best viewed in a wide browser window (1200 pixels or more).   Download SED & P(z) plots to view larger versions.
In P(z) plots: Yellow lines mark the cluster redshift z = 0.228,  

Object #4277   x,y = (3057, 2047)   RA, Dec = (06:03:11.136, 42:15:20.52) = (90.79640, 42.25570)   BPZ = 1.731 [0.546--5.227]   type = 11.00 (SB11_A_0_l)   stellarity = 1.00   chisq2 = 244.90   ODDS = 0.23   z_cluster = 0.228