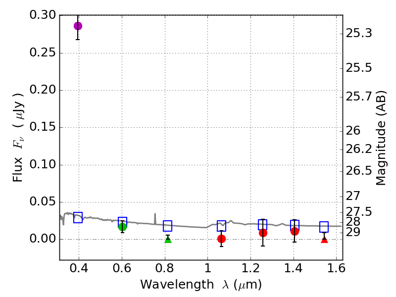
RXS0603+42-N IR detection object #4276

Color images and BPZ results
Catalog: 4276.cat
Black segments are analyzed here.   Roll mouse over color images to view segments.
Best viewed in a wide browser window (1200 pixels or more).   Download SED & P(z) plots to view larger versions.
In P(z) plots: Yellow lines mark the cluster redshift z = 0.228,  

Object #4276   x,y = (3125, 2051)   RA, Dec = (06:03:10.776, 42:15:20.88) = (90.79490, 42.25580)   BPZ = 1.698 [1.311--2.220]   type = 11.00 (SB11_A_0_l)   stellarity = 0.65   chisq2 = 51.40   ODDS = 0.50   z_cluster = 0.228