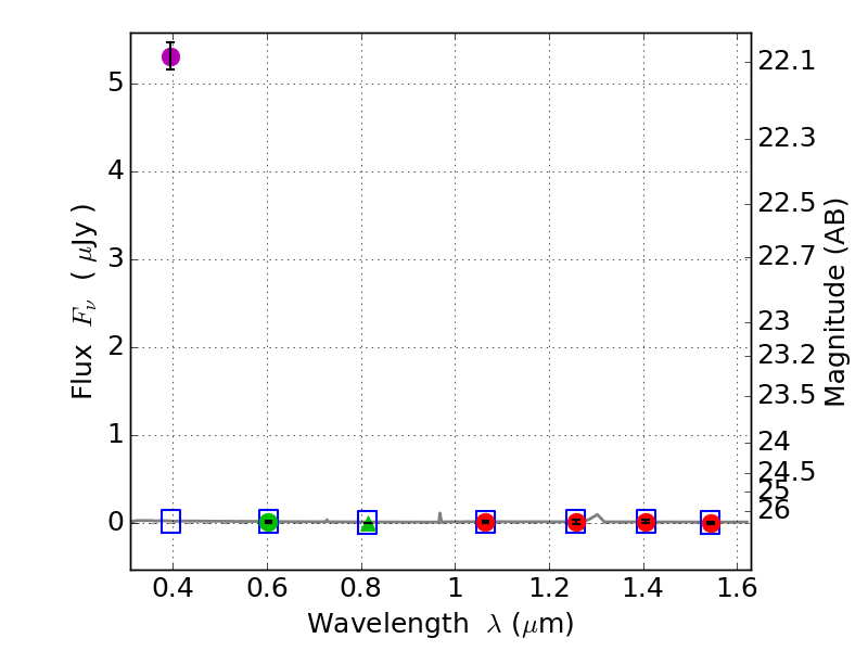
RXS0603+42-N IR detection object #4267

Color images and BPZ results
Catalog: 4267.cat
Black segments are analyzed here.   Roll mouse over color images to view segments.
Best viewed in a wide browser window (1200 pixels or more).   Download SED & P(z) plots to view larger versions.
In P(z) plots: Yellow lines mark the cluster redshift z = 0.228,  

Object #4267   x,y = (3093, 2048)   RA, Dec = (06:03:10.944, 42:15:20.52) = (90.79560, 42.25570)   BPZ = 1.599 [0.371--4.076]   type = 11.00 (SB11_A_0_l)   stellarity = 0.89   chisq2 = 285.80   ODDS = 0.16   z_cluster = 0.228