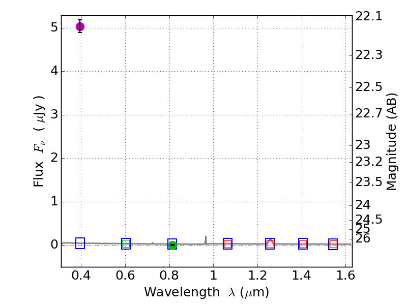
RXS0603+42-N IR detection object #4249

Color images and BPZ results
Catalog: 4249.cat
Black segments are analyzed here.   Roll mouse over color images to view segments.
Best viewed in a wide browser window (1200 pixels or more).   Download SED & P(z) plots to view larger versions.
In P(z) plots: Yellow lines mark the cluster redshift z = 0.228,  

Object #4249   x,y = (4559, 2055)   RA, Dec = (06:03:03.024, 42:15:20.88) = (90.76260, 42.25580)   BPZ = 1.595 [0.644--2.972]   type = 11.00 (SB11_A_0_l)   stellarity = 1.00   chisq2 = 1098.00   ODDS = 0.22   z_cluster = 0.228