RXS0603+42-N IR detection object #4235

Color images and BPZ results
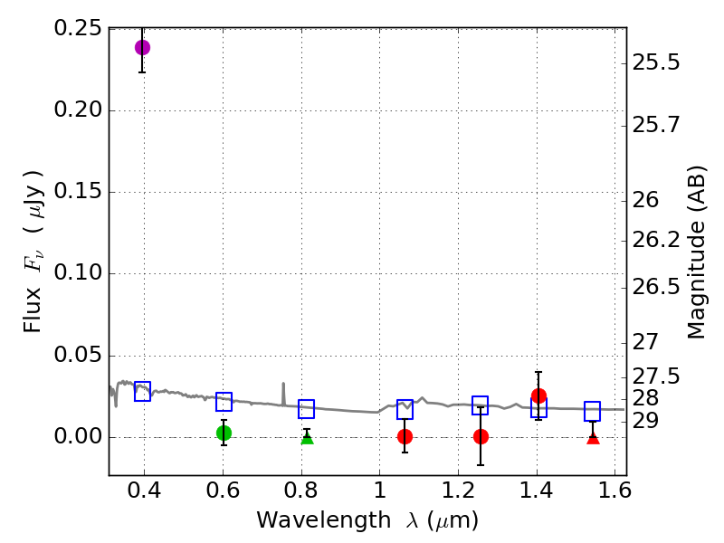
Catalog: 4235.cat
Black segments are analyzed here.   Roll mouse over color images to view segments.
Best viewed in a wide browser window (1200 pixels or more).   Download SED & P(z) plots to view larger versions.
In P(z) plots: Yellow lines mark the cluster redshift z = 0.228,  

Object #4235   x,y = (1803, 2061)   RA, Dec = (06:03:17.928, 42:15:21.24) = (90.82470, 42.25590)   BPZ = 1.697 [1.239--2.197]   type = 11.00 (SB11_A_0_l)   stellarity = 0.73   chisq2 = 51.30   ODDS = 0.49   z_cluster = 0.228