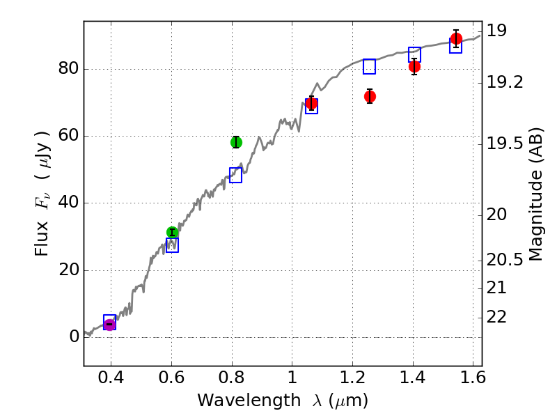
RXS0603+42-N IR detection object #4203

Color images and BPZ results
Catalog: 4203.cat
Black segments are analyzed here.   Roll mouse over color images to view segments.
Best viewed in a wide browser window (1200 pixels or more).   Download SED & P(z) plots to view larger versions.
In P(z) plots: Yellow lines mark the cluster redshift z = 0.228,  

Object #4203   x,y = (2997, 2050)   RA, Dec = (06:03:11.472, 42:15:20.52) = (90.79780, 42.25570)   BPZ = 0.179 [0.092--0.204]   type = 4.00 (Ell4_A_0)   stellarity = 0.98   chisq2 = 1.41   ODDS = 0.60   z_cluster = 0.228