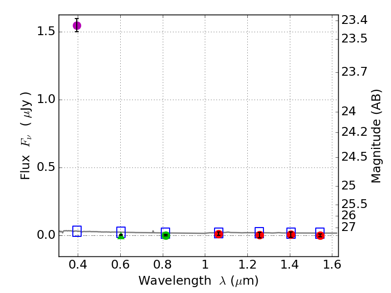
RXS0603+42-N IR detection object #4195

Color images and BPZ results
Catalog: 4195.cat
Black segments are analyzed here.   Roll mouse over color images to view segments.
Best viewed in a wide browser window (1200 pixels or more).   Download SED & P(z) plots to view larger versions.
In P(z) plots: Yellow lines mark the cluster redshift z = 0.228,  

Object #4195   x,y = (3067, 2080)   RA, Dec = (06:03:11.088, 42:15:22.32) = (90.79620, 42.25620)   BPZ = 1.702 [0.962--2.310]   type = 11.00 (SB11_A_0_l)   stellarity = 0.65   chisq2 = 234.10   ODDS = 0.41   z_cluster = 0.228