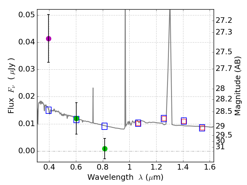
RXS0603+42-N IR detection object #4190

Color images and BPZ results
Catalog: 4190.cat
Black segments are analyzed here.   Roll mouse over color images to view segments.
Best viewed in a wide browser window (1200 pixels or more).   Download SED & P(z) plots to view larger versions.
In P(z) plots: Yellow lines mark the cluster redshift z = 0.228,  

Object #4190   x,y = (4171, 2076)   RA, Dec = (06:03:05.112, 42:15:22.32) = (90.77130, 42.25620)   BPZ = 1.597 [0.595--3.127]   type = 11.00 (SB11_A_0_l)   stellarity = 0.35   chisq2 = 13.26   ODDS = 0.17   z_cluster = 0.228