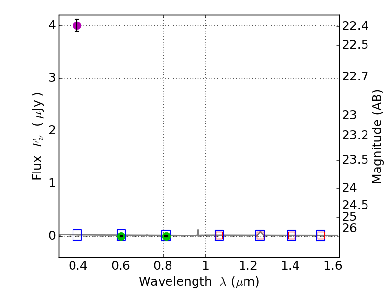
RXS0603+42-N IR detection object #415

Color images and BPZ results
Catalog: 415.cat
Black segments are analyzed here.   Roll mouse over color images to view segments.
Best viewed in a wide browser window (1200 pixels or more).   Download SED & P(z) plots to view larger versions.
In P(z) plots: Yellow lines mark the cluster redshift z = 0.228,  

Object #415   x,y = (2273, 3608)   RA, Dec = (06:03:15.384, 42:16:54.12) = (90.81410, 42.28170)   BPZ = 1.595 [0.452--5.782]   type = 11.00 (SB11_A_0_l)   stellarity = 0.89   chisq2 = 1092.00   ODDS = 0.14   z_cluster = 0.228