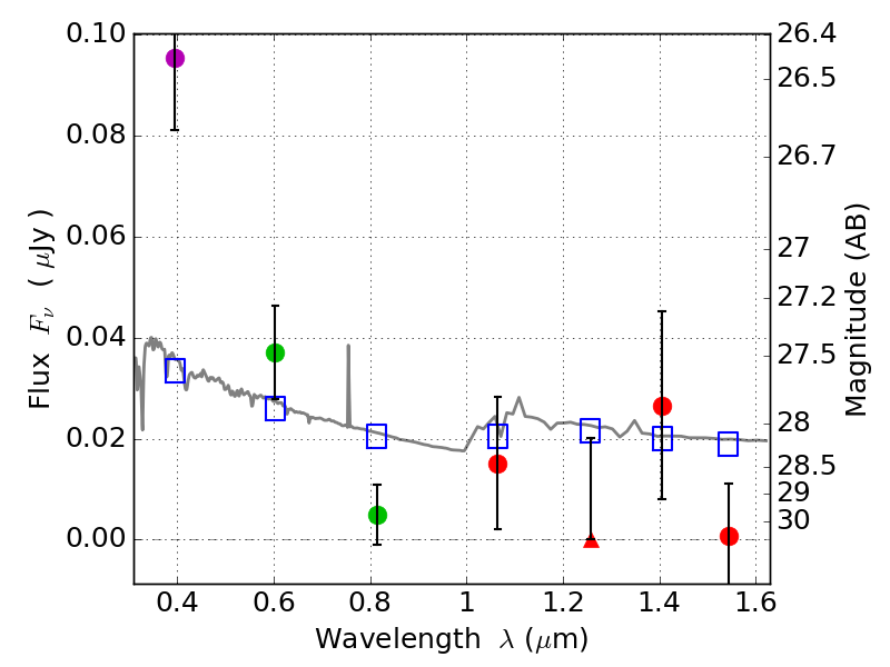
RXS0603+42-N IR detection object #4088

Color images and BPZ results
Catalog: 4088.cat
Black segments are analyzed here.   Roll mouse over color images to view segments.
Best viewed in a wide browser window (1200 pixels or more).   Download SED & P(z) plots to view larger versions.
In P(z) plots: Yellow lines mark the cluster redshift z = 0.228,  

Object #4088   x,y = (3485, 2114)   RA, Dec = (06:03:08.832, 42:15:24.48) = (90.78680, 42.25680)   BPZ = 1.700 [1.059--2.467]   type = 11.00 (SB11_A_0_l)   stellarity = 0.38   chisq2 = 7.41   ODDS = 0.40   z_cluster = 0.228