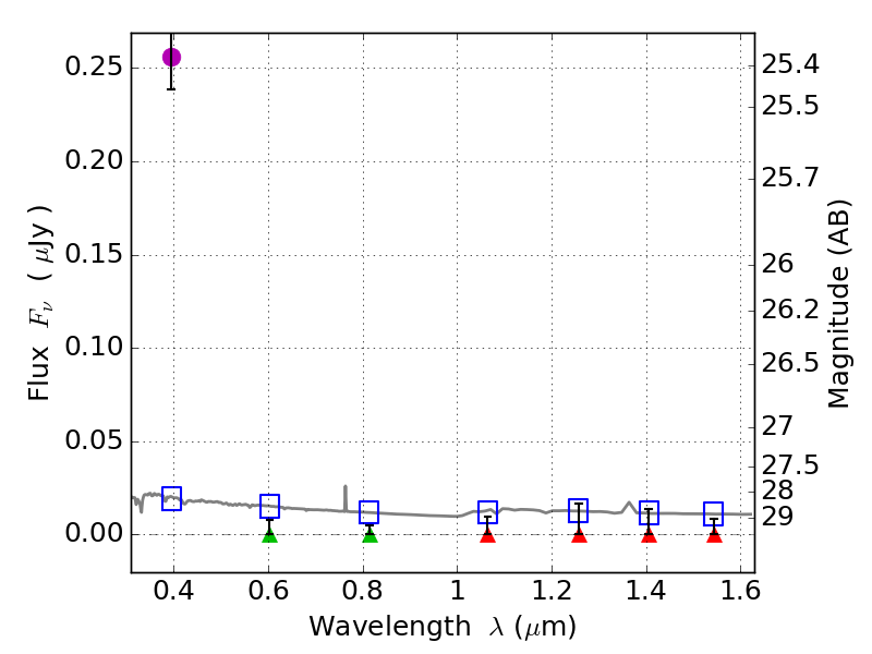
RXS0603+42-N IR detection object #4086

Color images and BPZ results
Catalog: 4086.cat
Black segments are analyzed here.   Roll mouse over color images to view segments.
Best viewed in a wide browser window (1200 pixels or more).   Download SED & P(z) plots to view larger versions.
In P(z) plots: Yellow lines mark the cluster redshift z = 0.228,  

Object #4086   x,y = (2940, 2116)   RA, Dec = (06:03:11.760, 42:15:24.48) = (90.79900, 42.25680)   BPZ = 1.732 [0.767--2.873]   type = 11.00 (SB11_A_0_l)   stellarity = 0.52   chisq2 = 46.33   ODDS = 0.30   z_cluster = 0.228