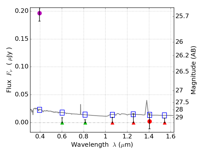
RXS0603+42-N IR detection object #4034

Color images and BPZ results
Catalog: 4034.cat
Black segments are analyzed here.   Roll mouse over color images to view segments.
Best viewed in a wide browser window (1200 pixels or more).   Download SED & P(z) plots to view larger versions.
In P(z) plots: Yellow lines mark the cluster redshift z = 0.228,  

Object #4034   x,y = (2751, 2136)   RA, Dec = (06:03:12.792, 42:15:25.92) = (90.80330, 42.25720)   BPZ = 1.763 [0.987--2.351]   type = 11.00 (SB11_A_0_l)   stellarity = 0.63   chisq2 = 38.09   ODDS = 0.38   z_cluster = 0.228