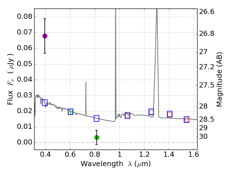
RXS0603+42-N IR detection object #4022

Color images and BPZ results
Catalog: 4022.cat
Black segments are analyzed here.   Roll mouse over color images to view segments.
Best viewed in a wide browser window (1200 pixels or more).   Download SED & P(z) plots to view larger versions.
In P(z) plots: Yellow lines mark the cluster redshift z = 0.228,  

Object #4022   x,y = (4506, 2140)   RA, Dec = (06:03:03.312, 42:15:25.92) = (90.76380, 42.25720)   BPZ = 1.596 [0.857--2.502]   type = 11.00 (SB11_A_0_l)   stellarity = 0.37   chisq2 = 20.54   ODDS = 0.23   z_cluster = 0.228