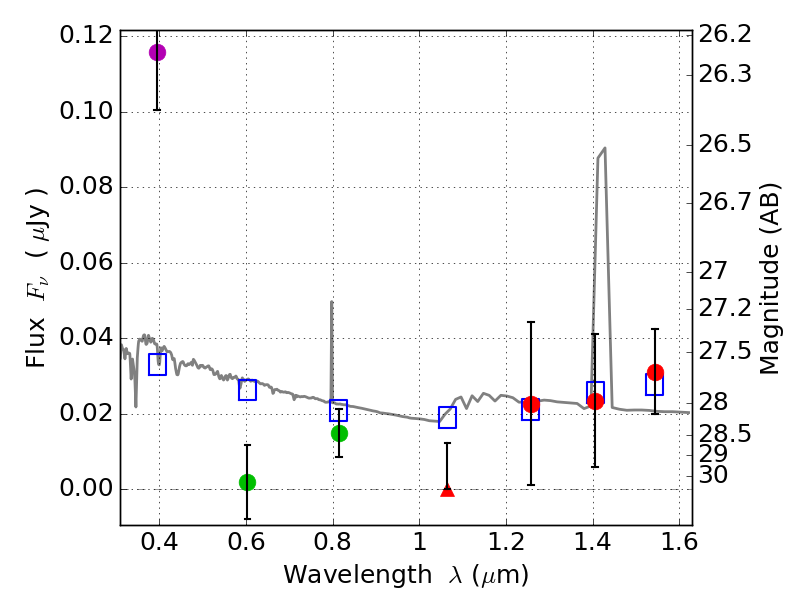
RXS0603+42-N IR detection object #3997

Color images and BPZ results
Catalog: 3997.cat
Black segments are analyzed here.   Roll mouse over color images to view segments.
Best viewed in a wide browser window (1200 pixels or more).   Download SED & P(z) plots to view larger versions.
In P(z) plots: Yellow lines mark the cluster redshift z = 0.228,  

Object #3997   x,y = (1976, 2151)   RA, Dec = (06:03:16.992, 42:15:26.64) = (90.82080, 42.25740)   BPZ = 1.854 [0.907--2.387]   type = 11.00 (SB11_A_0_l)   stellarity = 0.37   chisq2 = 9.26   ODDS = 0.24   z_cluster = 0.228