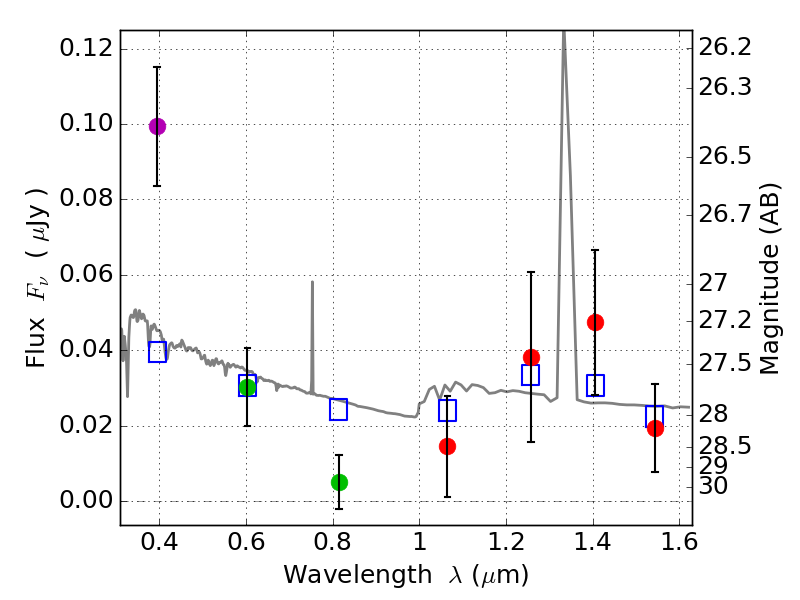
RXS0603+42-N IR detection object #3960

Color images and BPZ results
Catalog: 3960.cat
Black segments are analyzed here.   Roll mouse over color images to view segments.
Best viewed in a wide browser window (1200 pixels or more).   Download SED & P(z) plots to view larger versions.
In P(z) plots: Yellow lines mark the cluster redshift z = 0.228,  

Object #3960   x,y = (2459, 2189)   RA, Dec = (06:03:14.376, 42:15:29.16) = (90.80990, 42.25810)   BPZ = 1.692 [1.057--2.379]   type = 11.00 (SB11_A_0_l)   stellarity = 0.07   chisq2 = 5.44   ODDS = 0.36   z_cluster = 0.228