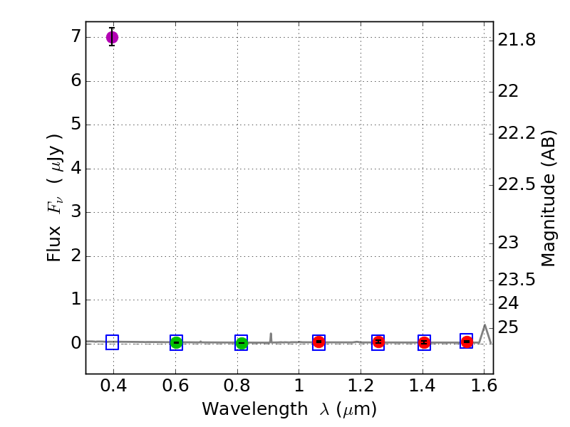
RXS0603+42-N IR detection object #3946

Color images and BPZ results
Catalog: 3946.cat
Black segments are analyzed here.   Roll mouse over color images to view segments.
Best viewed in a wide browser window (1200 pixels or more).   Download SED & P(z) plots to view larger versions.
In P(z) plots: Yellow lines mark the cluster redshift z = 0.228,  

Object #3946   x,y = (1570, 2219)   RA, Dec = (06:03:19.176, 42:15:30.96) = (90.82990, 42.25860)   BPZ = 1.442 [0.964--2.587]   type = 11.00 (SB11_A_0_l)   stellarity = 1.00   chisq2 = 285.10   ODDS = 0.26   z_cluster = 0.228